0571-82693216
info@yuhaochemical.com
QQ:3923020816
我的收藏
未登录
我的账户
登录
新用户?
立即注册
购物车
您尚未添加任何产品至购物车
去购物
结构
式
搜索
搜索历史
暂无搜索历史
高级搜索
结构式搜索
批量搜索
COA搜索
MSDS搜索
定制合成
连续流化学
鎓盐
聚合物材料
化学合成
高分子材料
网站首页
关于我们
企业简介
公司展示
产品目录
精细化学品
聚合物及单体
电子化学品
功能材料
定制合成
定制合成
定制流程
合成实力
品质保证
技术服务
技术服务
连续流化学
工艺开发
服务项目
材料研究
材料研究
聚合物材料
杂质研究
功能材料
新闻中心
企业新闻
产品发布
行业资讯
联系我们
联系方式
招贤纳士
发送咨询
中文
En
首页
>
产品目录
>
精细化学品
产品中心
精细化学品
聚合物及单体
电子化学品
功能材料
精细化学品
Product catalog
全部
全部
全部
全部
产品特性
LQ2665
Sudan Yellow 3G = 3-Methyl-1-phenyl-4-(phenylazo)-pyrapl-5-ol
4314-14-1
LQ2664
1-Methyl-1,4-cyclohexadiene
4313-57-9
LL0796
3-bromo-1,1,1-trifluoro-2-propanol
431-34-5
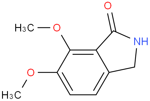
YH08806
"6,7-Dimethoxy-2,3-dihydro-isoindol-
59084-79-6
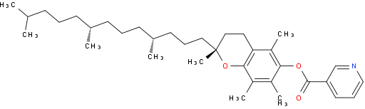
LQ5123
Alpha-Tocophenyl nicotinate
43119-47-7
RT6511
Necrostatin-1
4311-88-0
RT13485
DAMPA Ethyl Ester
43111-51-9
RT12548
o-Adamantylanisole
43109-77-9
YH42153
(1H-imidazol-4-yl)acetonitrile
18502-05-1
YH39469
Ethyl 3-methylpiperidine-3-carboxylate
170843-43-3
LT0875
3-METHYL-2-PHENYL-QUINOLINE-4-CARBOXYLIC ACID
43071-45-0
RT8779
Dimethyl 4-(2-Chlorophenyl)-2,6-dimethyl-1,4-dihydropyridine-3,5-dicarboxylate
43067-01-2
LT7907
D-(-)-GULOSE
4305-23-6
YH04372
2-Bromo-4,5-dimethoxy-benzenesulfonyl chloride
51072-64-1
RT6623
Benzyl β-D-Glucopyranoside
4304-12-5
YH01761
3-[5-(3-Hydroxy-propyl)-furan-2-yl]-propan-1-ol
4412-78-6
YH42315
"1,6,8-Trioxa-dispiro[4.1.4.2]tridec
1859-22-9
RT17919
2,5-Diformylfuran
823-82-5
LQ5106
N-(2-Cyanoethyl)pyrrole
43036-06-2
RT11352
Benzoyl-d5 Chloride
43019-90-5
首页
上一页
下一页
末页
暂无此分类的产品
点击收缩
3923020816
售前邮箱
售前Skype
0571-82693216
在线客服